­
MANDATORY PUBLIC DISCLOSURE

A       GENERAL INFORMATION

SL NO INFORMATION DETAILS
1 NAME OF THE SCHOOL THE PENTECOSTAL ASSEMBLY SCHOOL
2 AFFILIATION NUMBER 3430137
3 SCHOOL CODE 66334
4 COMPLETE ADDRESS WITH PIN CODE SECTOR 12, BOKARO STEEL CITY, JHARKHAND, PIN- 827012
5 PRINCIPAL NAME DR. KARUNA PRASAD
6 PRINCIPAL QUALIFICATION PH.D., B.ED.
7 SCHOOL EMAIL ID info@pasbokaro.com
8 CONTACT DETAILS (LANDLINE/MOBILE) +91-6542-256777,+91-9608253700

B       DOCUMENTS AND INFORMATION

SL NO DOCUMENTS/INFORMATION UPLOADED DOCUMENTS
1 COPIES OF AFFILIATION/UPGRADATION LETTER AND RECENT EXTENSION OF AFFILIATION,IF ANY
VIEW
2 COPIES OF SOCIETIES/TRUST/COMPANY REGISTRATION/RENEWAL CERTIFICATE,AS APPLICABLE
VIEW
3 COPIES OF NO OBJECTION CERTIFICATE (NOC) ISSUED, IF APPLICABLE BY THE STATE GOVT/UT
VIEW
4 COPIES OF RECOGNITION CERTIFICATE UNDER RTE ACT ,2009 AND IT'S RENEWAL IF APPLICABLE
VIEW
5 COPIES OF VALID BUILDING SAFETY CERTIFICATE AS PER THE NATIONAL BUILDING CODE
VIEW
6 COPIES OF VALID FIRE SAFETY CERTIFICATE ISSUED BY THE COMPETENT AUTHORITY
VIEW
7 COPIES OF THE DEO/SELF CERTIFICATE SUBMITTED BY THE SCHOOL FOR AFFILIATION /UPGRADATION/EXTENSION OF AFFILITAION OR SELF CERTIFICATION BY SCHOOL
VIEW
8 COPIES OF VALID WATER,HEALTH AND SANITATION CERTIFICATES
VIEW
9 SARAS Registration with Pending Lease Renewal
VIEW
9 MANDATORY CBSE DISCLOSURE
VIEW
10 LAND CERTIFICATE
VIEW

C       RESULT AND ACADEMICS

SL NO DOCUMENTS/INFORMATION UPLOADED DOCUMENTS
1 FEE STRUCTURE OF THE SCHOOL
VIEW
2 ANNUAL ACADEMIC CALENDAR
VIEW
3 LIST OF SCHOOL MANAGEMENT COMMITTEE (SMC)
VIEW
4 LIST OF PARENTS TEACHERS ASSOCIATION (PTA) MEMBERS
VIEW
5 LAST THREE YEAR RESULT OF THE BOARD EXAMINATION AS PER APPLICABILITY
VIEW
6 NUMBER of STUDENTS CLASSWISE
VIEW
7 BOOK LIST OF ALL CLASSES
VIEW
8 DETAILS OF TEACHERS TRAINING
VIEW
9 ANNUAL REPORT
VIEW
10 Report on Educational Initiatives (EI) Cares
VIEW
11 Transfer Certificate Sample
VIEW
12 Teachers Data
VIEW
13 Written Declaration
VIEW

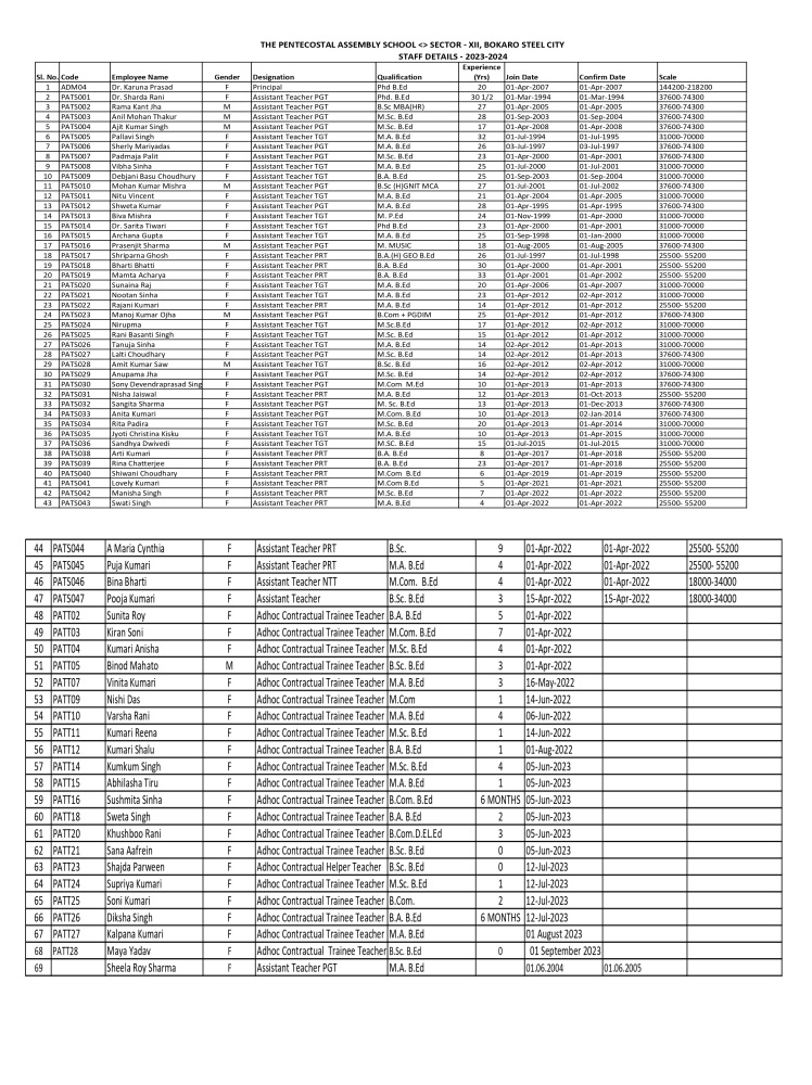
D       STAFF(TEACHING)

SL NO INFORMATION DETAILS
1 PRINCIPAL DR. KARUNA PRASAD
2 TOTAL NO. OF TEACHERS 78
PGT 17
TGT 20
PRT 39
3 TEACHER SECTION RATIO 1.7
4 DETAILS OF SPECIAL EDUCATOR MR. P. D. SENGVAIDAM CHIRU
5 DETAILS OF COUNSELLOR AND WELNESS TEACHER MR. CHINGSUBAH

E       SCHOOL INFRASTRUCTURE

SL NO INFORMATION DETAILS
1 TOTAL CAMPUS OF AREA OF THE SCHOOL (IN SQUARE MTR) 32374
2 NO. AND SIZE OF THE CLASS ROOMS (IN SQUARE MTR) 600 00
3 NO. AND SIZE OF LABORATORIES INCLUDING COMPUTER LABS (IN SQUARE MTR) 5 600
4 INTERNET FACILITY (Y/N) YES
5 NO. OF GIRLS TOILETS 50
6 NO. OF BOYS TOILETS 51
7 CLARIFICATION VIDEO VIEW